扫一扫,访问手机版
布林线止损外汇交易系统下载。布林线止损外汇交易系统介绍:该交易系统包含移动平均线,布林线趋势指标,交易信号指标,趋势信息指标
等技术指标。该交易系统适用于趋势行情和趋势波段行情。
布林线止损外汇交易策略:
A. 交易规则
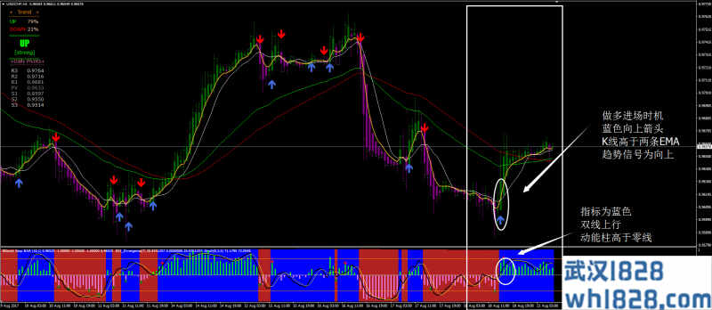
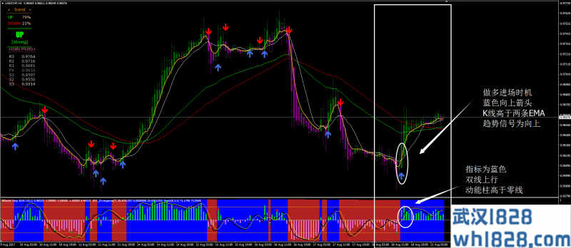
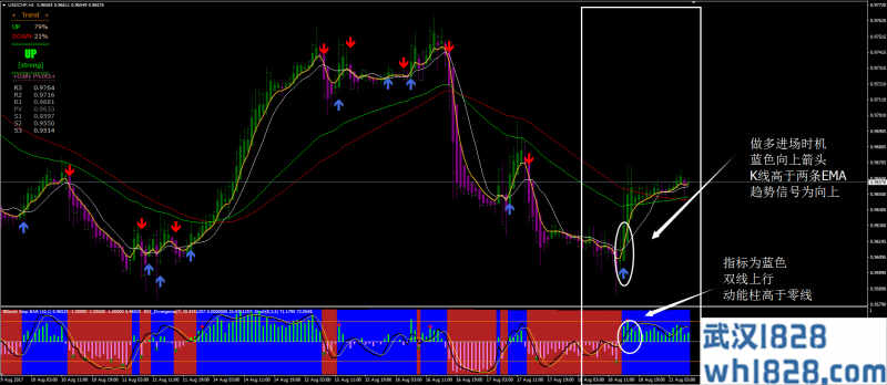
1. 做多时机:出现蓝色向上箭头;EMA快线上穿慢线;趋势信息指标显示向上信号;布林线趋势指标为蓝色,双线上行,动能柱高于零线。
2. 做空时机:出现红色向下箭头;EMA快线下穿慢线;趋势信息指标显示向下信号;布林线趋势指标为红色,双线下行,动能柱低于零线。
B. 止盈:可根据实际情况自行设置。
C. 止损:可根据实际情况自行设置。
D. 进场时机:满足以上所有条件。
E. 离场时机:根据止盈或止损离场。或当指标出现明显反转迹象时可考虑离场。
布林线止损外汇交易系统适用品种:任何货币对。
布林线止损外汇交易系统适用周期:15分钟图(M15),可考虑尝试其他的时间周期。
1. 上升趋势:
2. 下降趋势:
布林线止损外汇交易系统图文教程(汉化版):点击下方图片放大预览。
MT4平台技术指标、模板的安装方法:
MT4安装目录/MQL4/Indicators 为指标文件夹(放置mq4和ex4指标)。
MT4安装目录/templates 为模板文件夹(放置tpl模板文件)。
然后重新启动MT4平台,你的技术指标或者模板也就安装完毕了。
已售:2
商品属性 [] 商品标签






